근의 공식
한 남성이 근의 공식 개념을 모르는 여자친구에게 실망했다는 사연을 올려 화제가 되고 있다.
지난 19일 한 온라인 커뮤니티에는 ‘근의 공식’을 두고 여자친구와 논쟁을 벌인 한 남성의 사연이 올라와 화제가 됐다.
해당 게시물에 따르면 두 사람이 논쟁을 시작한 이유는 최근 이슈가 된 수능 수학 영역 1번 문제에서부터 시작됐다.
A씨는 해당 문제를 보여주며 여자친구에게 정답을 알고 있냐고 물었는데, 해당 문제는 지수법칙을 알고 있어야 하는 문제로 밑을 2로 통일한 뒤 계산하는 문제로 정답은 2번인 1/2이다.
여자친구는 “수학·과학은 완전 젬병이다”라며 모르겠다고 답했고, 이를 들은 A씨는 문제를 풀지 못하는 여자친구를 보며 ‘암산’이라면 계산이 힘들 수 있겠거니 생각하기로 했지만 그는 여자친구에게 ‘근의 공식’을 알고 있냐고 다시 한번 질문을 했다.
이에 여자친구는 지수법칙에 이어 근의 공식 역시 알지 못한다고 답했고 이 남성은 여자친구에게 A씨는 실망감을 느꼈다.
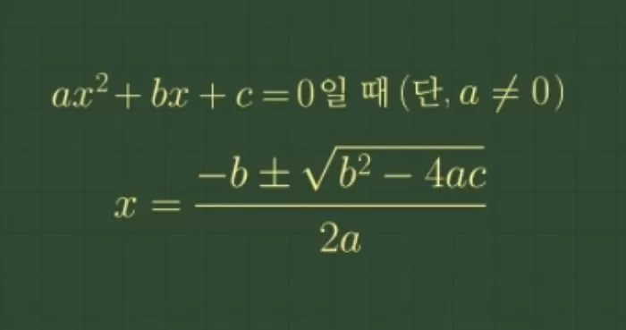
근의 공식은 이차방정식의 근을 구하는 공식으로 중학교 교과 과정에서 등장하는 기초 수학이기 때문이기에 A씨는 여자친구에게 “학창 시절 공부를 안 한 것이냐”고 묻었다.
해당 질문을 받은 여자친구는 기분 나빠하며 아무런 답도 하지 않았고 그렇게 두 사람의 일은 이날 끝났으나 A씨는 결국 여자친구를 이해하지 못했다.
결국 A씨는 온라인 커뮤니티에 사연을 남겨 누리꾼들에게 “근의 공식 모르면 무식한 거 아닌가요?”라고 고민을 털어놨다.
이에 누리꾼들은 “상식이다”, “근의 공식을 모르는 건 상식이 없는 게 맞다”, “중학교 때 배우는 건데 상식 아닌가”, “문과여도 근의 공식은 알아야 한다” 등의 반응을 보인 반면 반대로 “모를 수 있다”, “잘 안 쓰면 모를 수도 있는 거 아니냐”, “이게 왜 상식이냐”, “사람마다 관심사가 다르니 부족한 부분이 있을 수도 있지”라는 반응을 보였다.
[저작권자 VONVON/ 무단복사, 무단전재 및 재배포 금지 (위반 시 법적조치)]







